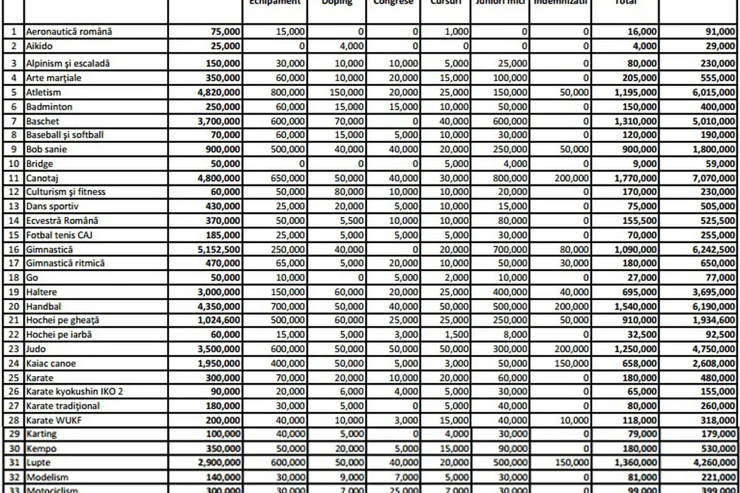
UPDATE | Gimnastica este sportul cel mai bine finanțat de MTS în 2017! Canotajul și handbalul sunt și ele pe podium. Boxul a rămas din nou pe dinafară. 60 de federații au la dispoziție 100 de milioane de lei

4 / 5
  • Termeni și condiții
  • Politica de confidentialitate
  • GDPR
  • Echipa editorială
  • Contact
Modifică Setările
copyright © 2026
Citarea se poate face în limita a 250 de semne. Nici o instituţie sau persoană (site-uri, instituţii mass-media, firme de monitorizare) nu poate reproduce integral scrierile publicistice purtătoare de Drepturi de Autor.
Decizia ONJN nr. 1598/16.09.2021. Jocurile de noroc sunt interzise minorilor.