UPDATE: Conform unor sesizări făcute de unii șefi de Federație, sumele repartizate federațiilor sportive naționale în anul 2017 pentru finanțarea programelor sportive de utilitate publică, așa cum au fost publicate oficial de MTS, nu sunt chiar cele reale. La cifrele respective, din tabel lipsesc sumele repartizate la 11 federații, la începutul anului, în regim de urgență, până la aprobarea bugetului de stat pe anul 2017 și în limita a 8,33% din suma alocată pentru finanțarea federațiilor sportive naționale în anul 2016. Aceste sume sunt : FR Schi biatlon – 1.070.000 lei, FR Bob sanie – 800.000 lei, FR Tenis de masă – 350.000 lei, FR Gimnastică – 931.500 lei (din care 624.600 lei pentru organizarea Campionatului European de gimnastică, seniori, masculin și feminin, Cluj Napoca 2017), FR Baschet – 1.380.000 lei (taxă organizare Eurobasket – Cluj Napoca 2017), FR Scrimă – 435.000 lei, FR Atletism – 330.000 lei, FR Gimnastică ritmică – 53.000 lei, FR Hochei pe gheață – 175.400 lei, FR Handbal – 500.000 lei, FR Rugby – 500.000 lei, total – 6.440.900 lei de la bugetul de stat și 84.000 lei din venituri proprii MTS.

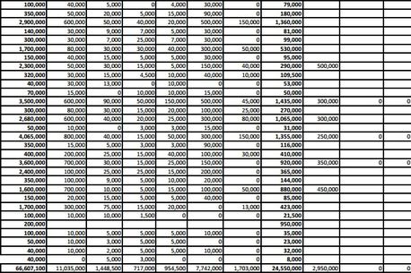
Așadar, canotajul nu mai ocupă locul 1 în topul federațiilor cele mai bine finanțate, ci poziția de lider îi aparține Gimnasticii – 7,17 milioane de lei. Canotajul este pe locul 2 cu 7.07 milioane de lei, iar handbalul pe locul 3 cu 6,69 milioane de lei.
Ministerul Tineretului și Sportului a semnat în această săptămână contractele de finanțate cu Federațiile Naționale, împărțind un buget în valoare de aproximativ 94 de milioane de lei (aproximativ 21 de milioane de euro), dintre care 66 de milioane de lei de la bugetul de stat și restul din venituri proprii.
64 de federații sportive naționale au depus cereri de finanțare dintre cele 74 federații legal constituite la această dată:

Nu au depus cereri de finanțare pentru anul 2017 următoarele federații : FR Arte marțiale de contact, FR Biliard pool, FR Darts, FR Fotbal, FR Golf, FR Patinaj, FR Snooker, FR Sport columbofil, FR Table backgammon și FR Vovinam viet-vo-dao.
Au îndeplinit condițiile de finanțare 60 de federații naționale. FR Pescuit sportiv se confruntă, la această dată, cu o serie de probleme interne, astfel că MTS a propus ca cererea de finanțare a acestei federații să fie analizată și soluționată după încheierea acțiunii de control asupra activității federației dispusă prin ordinul ministrului tineretului și sportului nr. 164 din 28.02.2017.

Nu îndeplinesc condițiile de finanțare, respectiv nu sunt eligibile și nu pot beneficia de finanțare la această dată FR Box, care are obligații de plată din anii anteriori la Ministerul Tineretului și Sportului, FR Automobilism sportiv și FR Ciclism care au depus cereri de finanțare incomplete.
În urma aplicării criteriilor de finanțare pentru programul „Promovarea sportului de performanță” au rezultat următoarele grupe valorice :
Grupa valorică 1: FR Scrimă, FR Gimnastică, Comitetul Național Paralimpic, FR Judo, FR Lupte, FR Tenis, FR Haltere, FR Canotaj, FR Kaiac canoe, FR Tir sportiv, FR Atletism, FR Handbal, FR Tenis de masă, FR Schi biatlon, FR Bob sanie, FR Natație și pentatlon modern, FR Polo, FR Gimnastică ritmică
Grupa valorică 2: FR Baschet, FR Volei, FR Rugby, FR Triatlon, FR Taekwondo WTF
Grupa valorică 3: FR Arte marțiale, FR Karate, FR Dans sportiv, FR Kempo, FR Radioamatorism, FR Karate WUKF, FR Sambo, FR Powerlifting, FR Modelism, FR Karate kyokushin IKO 2, FR Popice, FR Fotbal tenis CAJ, FR Culturism și fitness, FR Taekwondo ITF, FR Go, FR Aikido, FR Karate tradițional, Federația Aeronautică Română, FR Șah
Grupa valorică 4: FR Badminton, FR Baseball și softball, FR Motociclism, FR Scrabble, FR Orientare, FR Hochei pe gheață, Federația Ecvestră Română, FR Hochei pe iarbă, FR Tir cu arcul, FR Yachting, FR Alpinism și escaladă, FR Bridge, FR Karting, FR Squash, FR Chanbara, FR Cricket.
Sumele propuse pentru FR Gimnastică conțin și cheltuielile de organizare a Campionatului European de gimnastică – Cluj Napoca 2017 (2.000.000 lei), pentru FR Baschet conțin și sumele necesare achității ultimei taxe de organizare a Eurobasket – Cluj Napoca 2017 (400.000 euro), pentru FR Hochei pe gheață și sumele necesare organizării Campionatul Mondial de hochei, seniori, divizia a II-a, grupa A, 03-09.04.2017 – Galați (200.000 lei).
Știați că avem o pagină de Facebook dedicată handbalului?